Evaluate each of the following using identities:
Question:
Evaluate each of the following using identities:
(i) $(2 x-1 / x)^{2}$
(ii) $(2 x+y)(2 x-y)$
(iii) $\left(a^{2} b-a b^{2}\right)^{2}$
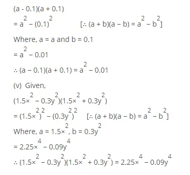
(iv) $(a-0.1)(a+0.1)$
(v) $\left(1.5 x^{2}-0.3 y^{2}\right)\left(1.5 x^{2}+0.3 y^{2}\right)$
Solution:
(i) Given,
$(2 x-1 / x)^{2}=(2 x)^{2}+(1 / x)^{2}-2 * 2 x * 1 / x$
$(2 x-1 / x)^{2}=4 x^{2}+1 / x^{2}-4 \quad\left[\therefore(a-b)^{2}=a^{2}+b^{2}-2 a b\right]$
Where, $a=2 x, b=1 / x$
$\therefore(2 x-1 / x)^{2}=4 x^{2}+1 / x^{2}-4$
(ii) Given,
$(2 x+y)(2 x-y)$
$=(2 x)^{2}-(y)^{2} \quad\left[\therefore(a+b)(a-b)=a^{2}-b^{2}\right]$
$=4 x^{2}-y^{2}$
$\therefore(2 x+y)(2 x-y)=4 x^{2}-y^{2}$
(iii) Given,

(iv) Given,
