Evaluate the following integrals:

Question:

Evaluate the following integrals:

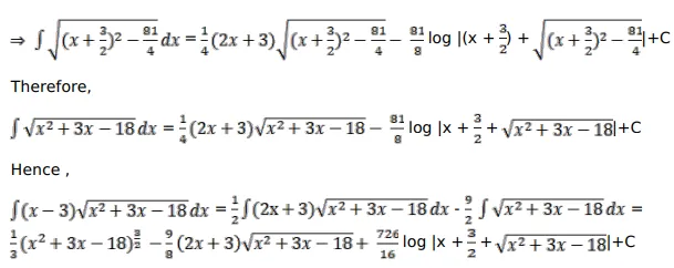
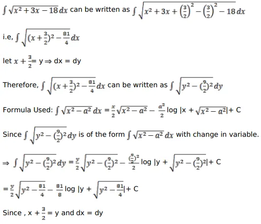
$\int(x-3) \sqrt{x^{2}+3 x-18} d x$

Solution:

Leave a comment