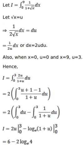
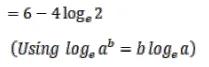
Evaluate the following integrals

Question:

Evaluate the following integrals

$\int_{0}^{9} \frac{\mathrm{dx}}{(1+\sqrt{\mathrm{x}})}$

Solution:

Leave a comment