Evaluate the following integrals

Question:

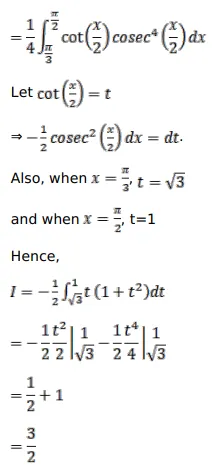
Evaluate the following integrals

$\int_{\pi / 3}^{\pi / 2} \frac{\sqrt{1+\cos x}}{(1-\cos x)^{5 / 2}} d x$

Solution:

Leave a comment