Evaluate the following integrals:

Question:

Evaluate the following integrals:

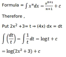
$\int \frac{4 x}{\left(2 x^{2}+3\right)} d x$

Solution:

Leave a comment