Evaluate the following integrals

Question:

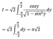
Evaluate the following integrals

$\int_{0}^{\pi / 2}(\sqrt{\tan x}+\sqrt{\cot x}) d x$

Solution:

Leave a comment