Evaluate the following integrals:

Question:

Evaluate the following integrals:

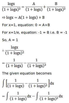
$\int \frac{\log x}{(1+\log x)^{2}} d x$

Solution:

Leave a comment