Evaluate the following integrals

Question:

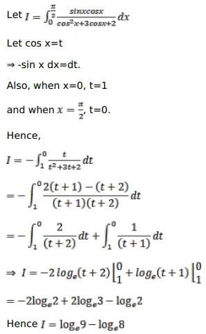
Evaluate the following integrals

$\int_{0}^{\pi / 2} \frac{\sin x \cos x}{\left(\cos ^{2} x+3 \cos x+2\right)} d x$

Solution:

Leave a comment