Evaluate the following integrals

Question:

Evaluate the following integrals

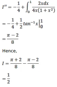
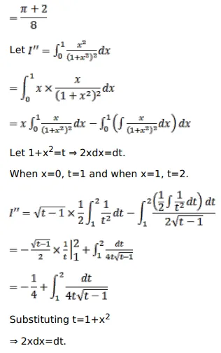
$\int_{0}^{1} \frac{\left(1-x^{2}\right)}{\left(1+x^{2}\right)^{2}} d x$

Solution:

Leave a comment