Evaluate the following integrals

Question:

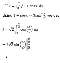
Evaluate the following integrals

$\int_{0}^{\pi / 2} \sqrt{1+\cos x} d x$

Solution:

Leave a comment