Evaluate the following integrals:

Question:

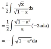
Evaluate the following integrals:

$\int \cos ^{-1} \sqrt{\mathrm{x}} \mathrm{dx}$

Solution:

Leave a comment