Evaluate the following integrals

Question:

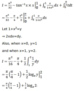
Evaluate the following integrals

$\int_{0}^{1} x\left(\tan ^{-1} x\right)^{2} d x$

Solution:

Leave a comment