Evaluate the following integrals:

Question:

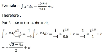
Evaluate the following integrals:

$\int \frac{1}{\sqrt{3-4 x}} d x$

Solution:

Leave a comment