Evaluate the following integrals

Question:

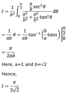
Evaluate the following integrals

$\int_{0}^{\pi / 2} \frac{d x}{\left(1+\cos ^{2} x\right)}$

Solution:

Leave a comment