Evaluate the following integrals:

Question:

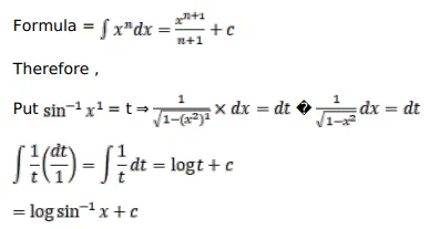
Evaluate the following integrals:

$\int \frac{1}{\left(\sqrt{1-x^{2}}\right) \sin ^{-1} x} d x$

Solution:

Leave a comment