Evaluate the following integrals:

Question:

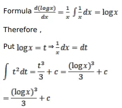
Evaluate the following integrals:

$\int \frac{(\log x)^{2}}{x} d x$

Solution:

Leave a comment