Evaluate the following integrals:

Question:

Evaluate the following integrals:

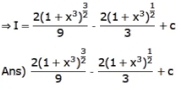
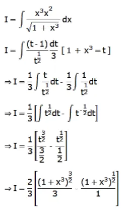
$\int \frac{x^{5}}{\sqrt{1+x^{3}}} d x$

Solution:

Leave a comment