Evaluate the following integrals:

Question:

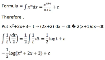
Evaluate the following integrals:

$\int \frac{(x+1)}{\left(x^{2}+2 x-3\right)} d x$

Solution:

Leave a comment