Evaluate the following integrals:

Question:

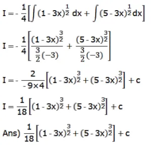
Evaluate the following integrals:

$\int \frac{d x}{(\sqrt{1-3 x}-\sqrt{5-3 x})}$

Solution:

Leave a comment