Evaluate the following integrals:

Question:

Evaluate the following integrals:

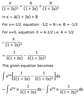
$\int \frac{x e^{2 x}}{(1+2 x)^{2}} d x$

Solution:

Leave a comment