Evaluate the following integrals:

Question:

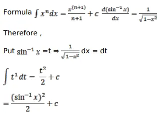
Evaluate the following integrals:

$\int \frac{\sin ^{-1} x}{\sqrt{1-x^{2}}} d x$

Solution:

Leave a comment