Evaluate the following integrals:

Question:

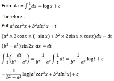
Evaluate the following integrals:

$\int \frac{\sin 2 x}{\left(a^{2} \cos ^{2} x+b^{2} \sin ^{2} x\right)} d x$

Solution:

Leave a comment