Evaluate the following integrals

Question:

Evaluate the following integrals

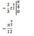
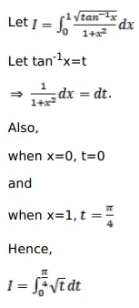
$\int_{0}^{1} \frac{\sqrt{\tan ^{-1} x}}{\left(1+x^{2}\right)} d x$

Solution:

Leave a comment