Evaluate the following integrals:

Question:

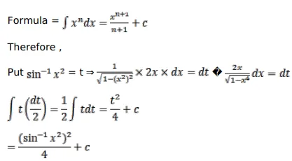
Evaluate the following integrals:

$\int \frac{x \sin ^{-1} x^{2}}{\sqrt{1-x^{4}}} d x$

Solution:

Leave a comment