Evaluate the following integrals:

Question:

Evaluate the following integrals:

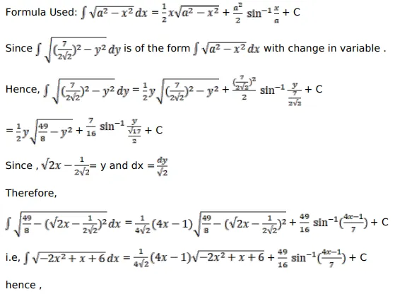
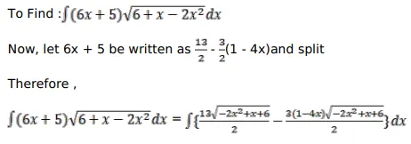
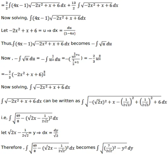
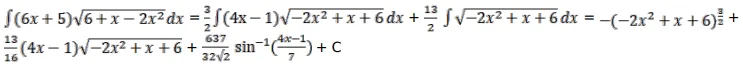
$\int(6 x+5) \sqrt{6+x-2 x^{2}} d x$

Solution:

Leave a comment