Evaluate the following integrals

Question:

Evaluate the following integrals

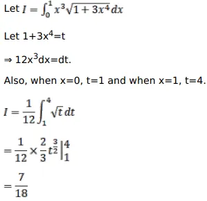
$\int_{0}^{1} x^{3} \sqrt{1+3 x^{4}} d x$

Solution:

Leave a comment