Evaluate the following integrals:

Question:

Evaluate the following integrals:

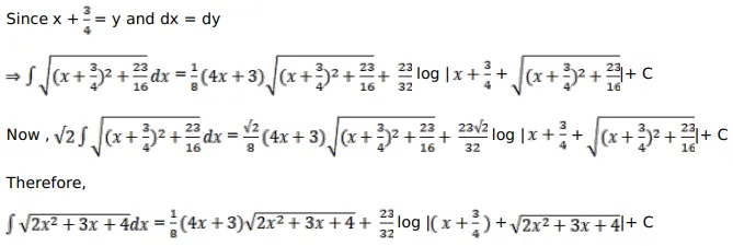
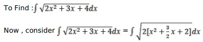
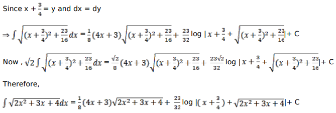
$\int \sqrt{2 x^{2}+3 x+4} d x$

Solution:

Leave a comment