Evaluate the following integrals:

Question:

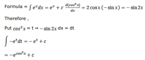
Evaluate the following integrals:

$\int e^{\cos ^{2} x} \sin 2 x d x$

Solution:

Leave a comment