Evaluate the following integrals

Question:

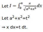
Evaluate the following integrals

$\int_{0}^{a} \frac{x}{\sqrt{a^{2}+x^{2}}} d x$

Solution:

Leave a comment