Evaluate the following integrals:

Question:

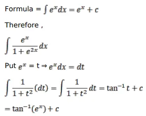
Evaluate the following integrals:

$\int \frac{d x}{\left(e^{x}+e^{-x}\right)}$

Solution:

Leave a comment