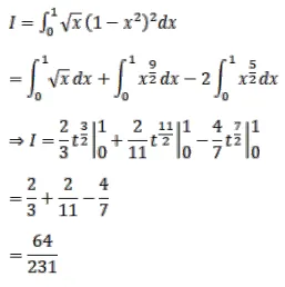
Evaluate the following integrals

Question:

Evaluate the following integrals

$\int_{0}^{\pi / 2} \sqrt{\sin x} \cdot \cos ^{5} x d x$

Solution:

Leave a comment