Evaluate the following integrals:

Question:

Evaluate the following integrals:

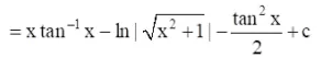
$\int \frac{x^{2} \tan ^{-1} x}{\left(1+x^{2}\right)} d x$

Solution:

Leave a comment