Evaluate the following integrals:

Question:

Evaluate the following integrals:

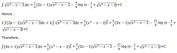
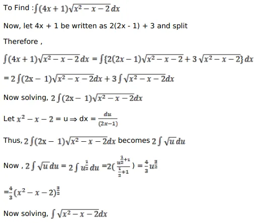
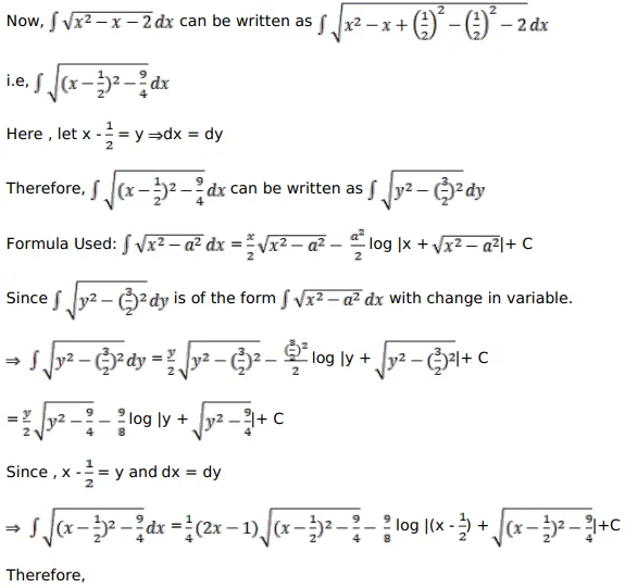
$\int(4 x+1) \sqrt{x^{2}-x-2} d x$

Solution:

Leave a comment