Evaluate the following integrals:

Question:

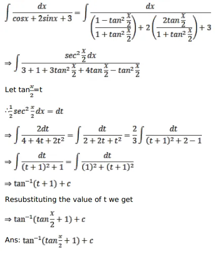
Evaluate the following integrals:

$\int \frac{d x}{(2 \sin x+\cos x+3)}$

Solution:

Leave a comment