Evaluate the following integrals:

Question:

Evaluate the following integrals:

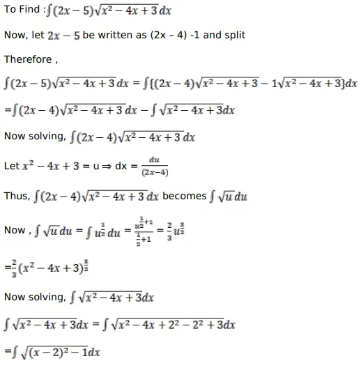
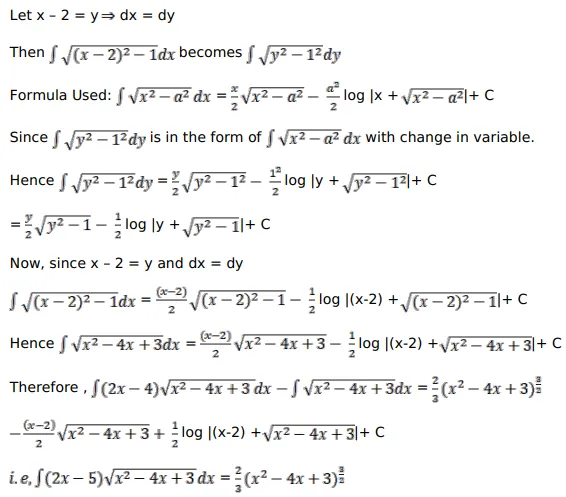
$\int(2 x-5) \sqrt{x^{2}-4 x+3} d x$

Solution:

Leave a comment