Evaluate the following integrals

Question:

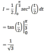
Evaluate the following integrals

$\int_{1}^{2} \frac{d x}{(x+1) \sqrt{x^{2}-1}}$

Solution:

Leave a comment