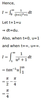
Evaluate the following integrals

Question:

Evaluate the following integrals

$\int_{0}^{\pi} \frac{d x}{(3+2 \sin x+\cos x)}$

Solution:

Leave a comment