Evaluate the following integrals:

Question:

Evaluate the following integrals:

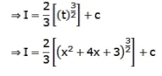
$\int(2 x+4) \sqrt{x^{2}+4 x+3} d x$

Solution:

Leave a comment