Evaluate the following integrals:

Question:

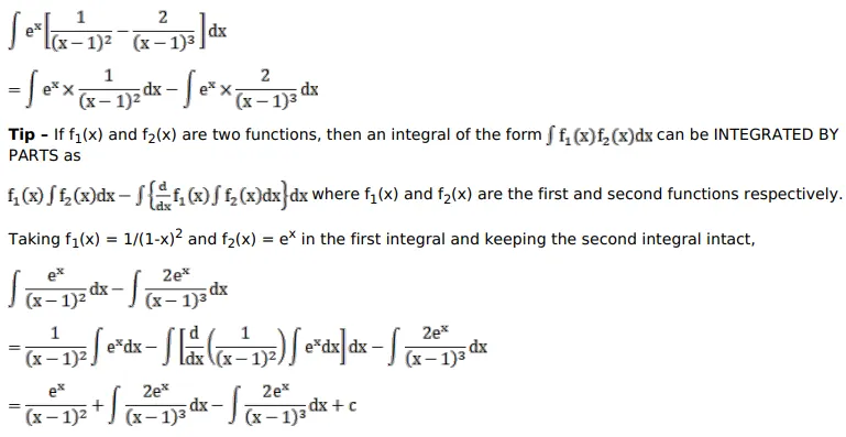
Evaluate the following integrals:

$\int e^{x} \cdot \frac{(x-3)}{(x-1)^{3}} d x$

Solution:

Leave a comment