Evaluate the following integrals:

Question:

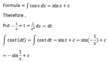
Evaluate the following integrals:

$\int \frac{1}{x^{2}} \cos \left(\frac{1}{x}\right) d x$

Solution:

Leave a comment