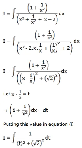
Evaluate the following integrals:

Question:

Evaluate the following integrals:

$\int \frac{\left(x^{2}+1\right)}{\left(x^{4}+1\right)} d x$

Solution:

Leave a comment