Evaluate the following integrals:

Question:

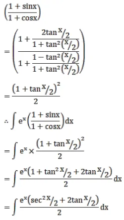
Evaluate the following integrals:

$\int e^{x}\left(\frac{1+\sin x}{1+\cos x}\right) d x$

Solution:

Leave a comment