Evaluate the following integrals:

Question:

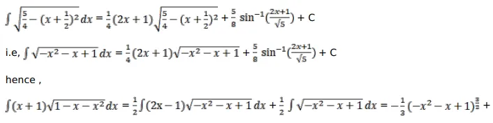
Evaluate the following integrals:

$\int(x+1) \sqrt{1-x-x^{2}} d x$

Solution:

Leave a comment