Evaluate the following integrals:

Question:

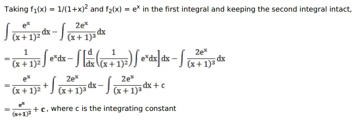
Evaluate the following integrals:

$\int e^{x} \frac{(x-1)}{(x+1)^{3}} d x$

Solution:

Leave a comment