Evaluate the following integrals:

Question:

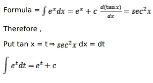
Evaluate the following integrals:

$\int e^{\tan x} \sec ^{2} x d x$

Solution:

$=e^{\tan x}+c$

Leave a comment