Evaluate the following integrals:

Question:

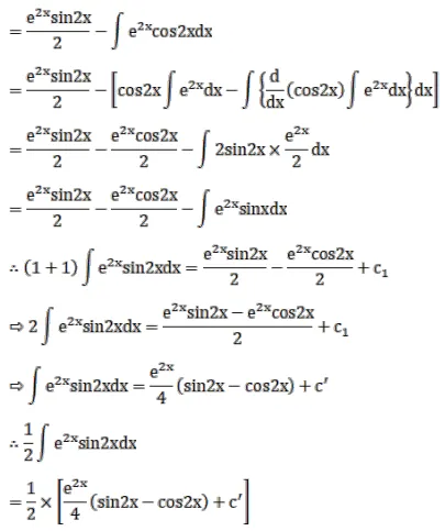
Evaluate the following integrals:

$\int e^{2 x} \sin x \cos x d x$

Solution:

Leave a comment