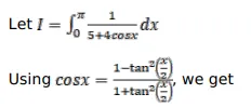
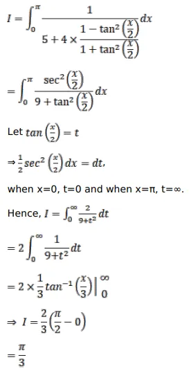
Evaluate the following integrals

Question:

Evaluate the following integrals

$\int_{0}^{\pi} \frac{d x}{(5+4 \cos x)}$

Solution:

Leave a comment