Evaluate the following integrals

Question:

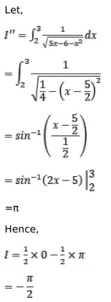
Evaluate the following integrals

$\int_{2}^{3} \frac{(2-x)}{\sqrt{5 x-6-x^{2}}} d x$

Solution:

Leave a comment