Evaluate the following integrals:

Question:

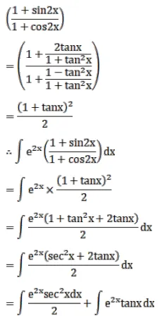
Evaluate the following integrals:

$\int \mathrm{e}^{2 \mathrm{x}}\left(\frac{1+\sin 2 \mathrm{x}}{1+\cos 2 \mathrm{x}}\right) \mathrm{dx}$

Solution:

Leave a comment