Evaluate the following integrals:

Question:

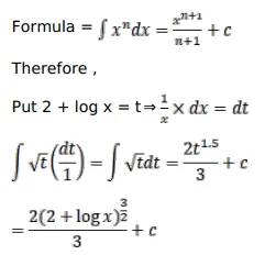
Evaluate the following integrals:

$\int \frac{\sqrt{(2+\log x)}}{x} d x$

Solution:

Leave a comment